运筹学学报(中英文) ›› 2025, Vol. 29 ›› Issue (4): 191-204.doi: 10.15960/j.cnki.issn.1007-6093.2025.04.015

• 论文 • 上一篇    下一篇

修理设备可更换且修理工多重休假的机器维修模型等待时间分布函数研究

吴文青1, 徐海文1,*(), 余玅妙2, 郑克龙1   

  1. 1. 中国民用航空飞行学院理学院, 四川成都 641419
    2. 四川师范大学数学科学学院, 四川成都 610068
  • 收稿日期:2022-11-16 出版日期:2025-12-15 发布日期:2025-12-11
  • 通讯作者: 徐海文 E-mail:hwxu@cafuc.edu.cn
  • 基金资助:
    2025年度中央高校基本科研业务费资助项目(25CAFUC09011);2025年度中央高校基本科研业务费资助项目(TD2025CZ10);教育部人文社会科学研究规划基金项目(24YJA630121);四川省科技厅资助项目(2025ZHCG0007);河南省重点研发专项项目(251111242100)

Research on the waiting time distribution of a machine maintenance model with replaceable repair facility and repairman's multiple vacations

Wenqing WU1, Haiwen XU1,*(), Miaomiao YU2, Kelong ZHENG1   

  1. 1. Faculty of Science, Civil Aviation Flight University of China, Chengdu 641419, Sichuan, China
    2. School of Mathematical Sciences, Sichuan Normal University, Chengdu 610068, Sichuan, China
  • Received:2022-11-16 Online:2025-12-15 Published:2025-12-11
  • Contact: Haiwen XU E-mail:hwxu@cafuc.edu.cn

摘要:

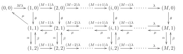
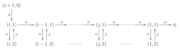
本文研究修理设备可更换, 且修理工多重休假的机器维修模型中, 故障机器的等待时间分布函数, 其中机器的工作时间和修理时间均服从负指数分布。利用吸收时间的马氏链过程、位相型分布和拉普拉斯--斯蒂尔切斯变换, 推导出了任意故障机器的等待时间分布函数及其平均等待时间的表达式。在此基础上, 讨论了故障机器等待时间分布函数随时间的变化情况, 并给出了相应的数值计算结果。

关键词: 机器维修模型, 修理设备可更换, 多重休假, 位相型分布, 故障机器的等待时间分布函数

Abstract:

This paper considers the waiting time distribution of an arbitrary failed machine in a machine repair system with a replaceable repair facility and repairman's multiple vacations where the operating time and the repair time of machines all follow exponential distributions. By employing the Markov Chain with absorbing time, the probabilistic properties of the phase-type distribution and the Laplace-Stieltjes transform, the specific expressions of the waiting time distribution of failed machines and its mean waiting time are all derived. Based on this, we discuss the time-dependent behavior of the system performance measures and provide numerical results of the waiting time.

Key words: machine repair system, replaceable repair facility, multiple vacations, phase type distribution, the waiting time distribution of failed machine

中图分类号: